Die Entfernung des Mondes
1. Die Mondparallaxe zwischen zwei weit entfernten Orten
Ein Ergebnisbild des Projektes "Simultaneously Photographing of the Moon and Determining its Distance" aus dem Jahr 2000
Die Entfernung des Mondes kann geometrisch bestimmt werden, indem seine Parallaxe gemessen wird. In der Regel peilen dazu zwei Beobachter,
die auf der Erde weit voneinander entfernt sind, gleichzeitig den Mond an und messen oder fotografieren seine Position am
Sternenhimmel. Obiges Bild zeigt die Überlagerung zweier solcher Fotos, die in Namibia und Deutschland aufgenommen wurden.
Eine weitere solche Messung wurde am 29. Mai 2016 zwischen der Hakos-Farm in Namibia (φ=-23.14°, λ=16.33°, U. Backhaus) und Bochum (φ=51.48°, λ=7.22°, A. Knülle-Wenzel) durchgeführt. Dabei wurde das Problem des großen Helligkeitsunterschieds zwischen Mond und Fixsternen dadurch gelöst, dass unmittelbar nacheinander zweimal fotografiert und anschließend das kurz belichtete Bild von dem lang belichteten abgezogen wurde.
k.jpg) |
 |
 |
| Bochum, Deutschland |
Hakos-Farm, Namibia |
Parallaxeneffekt Bochum-Hakos |
Aus diesen Bildern ergibt sich ein Parallaxeneffekt von 1.12°. Daraus folgt eine Mondentfernung von 366000km (korrekter Wert: 372500km).
Mit der Excel-Tabelle MondparallaxeBochum-Hakos_2016-05-29-02-10UT kann die Auswertung nachvollzogen werden. Die Bilder sind in der PP-Präsentation MondparallaxeBochum-Hakos anschaulich zusammengestellt.
2. Parallaxenmessung bei einer Mondfinsternis
Bei einer Mondfinsternis ist es leichter, Mond und Sterne gleichzeitig abzubilden. Dabei können auch Sterne in unmittelbarer Nachbarschaft des Mondes lokalisiert werden, sodass schon kleine Basislängen, z. B. innerhalb von Deutschland, für eine Parallaxenmessung ausreichend sind. Leider gibt es dazu aber nur selten Gelegenheit.
Unser Mitglied Ronald Schünecke kooperierte bei der Mondfinsternis am 27. Juli 2018 von Bayreuth aus erfolgreich mit einem befreundeten Amateurastronomen, Rainer Kleibrink, in Bielefeld.
k.JPG) |
k.jpg) |
| Bayreuth, 23:00:00 UT | Bielefeld, 23:00:00 UT |
Auf diesen Bildern können, etwas mühsam, gleiche Fixsterne identifiziert werden, mit deren Hilfe die Bilder aneinander angepasst und übereinander gelegt werden können. Dadurch wird die Mondparallaxe sichtbar:
Astrometry.net kann auf den Bildern genügend viele Fixsterne identifizieren, um die zugehörigen WCS-Koordinaten berechnen zu können. Auf den dadurch gelieferten Bildern ("new-image.fits") lassen sich dann - z. B. mit AstroImageJ die genauen Mondpositionen messen:
 |
 |
Bayreuth (φ=49:56:18.208, λ=11:35:1.183) α=20:30:00.189, δ=-19:47:30.44 | Bielefeld (φ=52:06:55.44, λ=8:32:49.56) α=20:30:02.391, δ=-19:47:54.44 |
Aus diesen Koordinaten ergibt sich mit demselben Algorithmus, den wir immer für Parallaxenbestimmungen am Mond oder an Kleinplaneten verwenden (siehe die entsprechende Excel-Tabelle) die aktuelle Entfernung zu 406000 km (Stellarium: 404815 km). Die erreichte Übereinstimmung mit der wahren Entfernung ist damit - angesichts der sehr kleinen Basislänge (Der projizierte Abstand zwischen Bielefeld und Bayreuth betrug nur 77 km!) - besser, als wir erwarten konnten.
3. Die tägliche Parallaxe des Mondes
Eine zweite Möglichkeit besteht darin, die tägliche Parallaxe des Mondes dadurch zu messen, dass man seine Position im Abstand
von etwa 12 Stunden vom selben Standort - und damit von unterschiedlichen Orten im Raum! - aus misst. Dabei ist es allerdings erforderlich,
die Eigenbewegung des Mondes heraurechnen zu können. Das Verfahren wird in dem Papier "
Die tägliche Parallaxe des Mondes" genau beschrieben. Die dort beschriebenen Algorithmen sind in der Excel-Tabelle
"taeglParallaxeVaihingen.xls" implementiert. Mit ihr sollte es einfach sein, auch eigene Messungen auszuwerten.
Mit dem Programm taeglMondparallaxe werden das Verfahren veranschaulicht und die Genauigkeiten den verschiedenen Interpolationsverfahren miteinander verglichen. Mit ihm ist es auch möglich, eigene Messungen auszuwerten.
Bei den Fotos unten, die in Vaihingen an der Enz (φ=48.93°, λ=8.95°) aufgenommen wurden, handelt es sich um den ersten Versuch, auf diese Weise die Entfernung zum Mond zu bestimmen. Sie bieten die Möglichkeit, die Auswertung selbst zu üben.
| 1.6 s | 0.004 s | Differenz |
26. Dezember 2015 21:17:11 MEZ |
 |
|  |
27. Dezember 2015 07:11:16 MEZ |
 |
 |
 |
27. Dezember 2015 22:11:54 MEZ |
 |
 |
 |
Aus diesen Bildern ergibt sich die Entfernung des Mondes zu 61.4 Erdradien oder 391000 km.
21./22. Januar 2016 R. Schünecke (51.64°,8.46°) |
 |
 |
 |
| 18:00:56 | 04:14:06 | 18:50:18 |
Aus diesen Bildern ergibt sich die Entfernung des Mondes zu 55.1 Erdradien oder 351000 km.
Eine weitere Messung der täglichen Mondparallaxe wurde am 22./23. Mai 2016 von der Hakos-Farm in Namibia aus durchgeführt (U. Backhaus).
 |
 |
 |
| 17:52:48 UT |
04:49:18 UT |
18:40:52 UT |
Aus diesen Bildern ergibt sich ein Parallaxeneffekt von 1.8°. Daraus folgt eine Mondentfernung von 364000km (korrekter Wert: 394000km).
Mit der Excel-Tabelle taeglParallaxeNamibia kann die Auswertung nachvollzogen werden. Die Bilder sind in der PP-Präsentation taeglMondparallaxeNamibia anschaulich zusammengestellt.
4. Die Größenänderung des Mondes zwischen Aufgang und Kulmination
Entgegen der unmittelbaren Wahrnehmung ("Mondillusion") ist der Winkeldurchmesser des Mondes in der Nähe des Horizontes kleiner als in der Kulmination. Das lässt sich dadurch erklären, dass der Mond, wenn er auf- oder untergeht, (um bis zu einem Erdradius) weiter vom Beobachter entfernt ist als in der Kulmination.
Die Aufnahmen wurden am 22. Mai 2016 auf der Hakos-Farm in Namibia gemacht (U. Backhaus) und eingenordet. Das kurz nach Mondaufgang aufgenommene Foto musste vor der Drehung etwas gestreckt werden, um die Abplattung durch die atmosphärische Refraktion zu kompenieren.
 |
 |
 |
 |
| 18:31:40 UT |
23:09:11 UT |
Überlagerung (Animation) |
Differenz |
Aus dem Größenvergleich ergibt sich eine Vergrößerung des Winkeldurchmessers um etwa 1/75. Daraus und aus den dabei mit einem Pendelquadranten gemessenen Höhen des Mondes über dem Horizont folgt eine geozentrische Mondentfernung von 62.9 Erdradien. Die korrekte Mondentfernung betrug zu dem Zeitpunkt 62.7 Erdradien.
Die zugehörige Rechnung wird in dem Papier Die Änderung der Größe des Mondes zwischen Aufgang und Kulmination und die Entfernung des Mondes dargestellt. Die PP-Präsentation Groessenaenderung enthält die zugehörigen Bilder.
U. Backhaus, "Wie weit ist der Mond entfernt? Die Mondentfernung in 25 Stunden mit drei verschiedenen Verfahren selbst bestimmt" (wird veröffentlicht in Sterne und Weltraum)
U. Backhaus, "Die Mondentfernung selbst messen. Zusätzliches Material", Ergänzungen zu dem SuW-Artikel
5. Die Größe des Erdschattens auf dem partiell verfinsterten Mond (Finsternisgleichung)
Die Größe des Erdschattens bei einer partiellen Mondfinsternis wurde bereits von Hipparch verwendet, um die Entfernung des Mondes zu bestimmen. Die Grundidee des Verfahrens ist einfach: Ergänzt man den Erdschatten auf dem Mond zu einem Kreis, dann "sieht" man das Größenverhältnis zwischen Erde und Mond und kann rdaraus die Mondgröße ableiten, da die Größe der Erde bekannt ist. Ist aber die Größe des Mondes bekannt, lässt sich aus seiner scheinbaren Gröe am Himmel (d. h. seinem Winkelradius) seine Entfernung berechnen.
Die korrekte Ableitung ist jedoch etwas schwieriger, weil die Sonne größer als die Erde und deshalb ihr Kernschatten auf dem Mond kleiner ist als die Erde. Der Zusammenhang der Mondentfernung mit dem Radiusverhältnis von Kernschatten und Mond ergibt sich aus dem folgenden Finsternisdiagramm:
Darin haben die Winkel folgende Bedeutung: 1 = rKS = Winkelradius des Kernschattens, 2 = rS = Winkelradius der Sonne, 3 = πM = Parallaxe des Mondes, 4 = πS = Sonnenparallaxe. F+r diese Winkel gilt
πM + πS = rS + rKS, (Finsternisgleichung)
woraus sich der folgende Zusammenhang ergibt (siehe die entsprechende Aufgabe des Schlechtwetter-Praktikums oder den Aufsatz "Betrachten einer Mondfinsternis":
Das Radiusverhältnis kann z. B. mit dem kleinen Windows-Programm "evaltransitpics" gemessen werden, das aus einem entsprechenden Programm zum Ausmessen von Transitfotos hervorgegangen ist..
 |
 |
| Mondfinsternis am 28. September 2015 | Die Ausmessung ergibt Radien von (z. B.) rM = 920 Px und rKS = 2400 Px. |
Am Beispiel des Fotos vom partiellverfinsterten Mond am 28. 9. 2015 ergibt sich so eine Mondentfernung von 57 Erdradien.
6. Virialsatz und Mondentfernung
Einer von uns, Alfred Knülle-Wenzel, hatte eine Idee, wie es im Prinzip in jedem Monat möglich ist, die Mondentfernung innerhalb von 1-2 Stunden zu messen, ohne einen Partner zu benötigen! Im November 2018 hat er die Methode erfolgreich getestet.
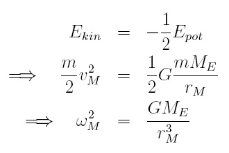
Für die Bewegung des Mondes im Gravitationsfeld der Erde nimmt der sogenannte Virialsatz der Mechanik die folgende Form an: Die Summe aus der kinetischen Energie und der halben potentiellen Energie ist gleich null:
Dabei werden die Radialbewegung des Mondes und die gemeinsame Bewegung von Erde und Mond um ihren Schwerpunkt vernachlässigt.
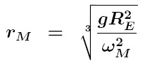
Ersetzt man in dieser Formel das Produkt GME durch gRE2 und löst nach der Mondentfernung rM auf, ergibt sich
Setzt man die Erdbeschleunigung g und den Erdradius RE als bekannt voraus, braucht man also nur die Winkelgeschwindigkeit ωM des Mondes zu messen, um seinen geozentrischen Abstand bestimmen zu können. Dabei kommt es jedoch darauf an, dass sich der Fotograf während der Aufnahmen möglichst genau auf den Mond zubewegt, wenn dieser nach seinem Aufgang im Osten steht, oder sich von ihm entfernt, wenn er vor Untergang im Westen steht. Sonst entsteht die beobachtete Winkelgeschwindigkeit durch Überlagerung der Bewegungen von Mond und Fotograf.
Am 23. November 2018 stand der Mond um 19:50 Uhr MEZ in Bochum genau im Osten. Wegen aufziehender Wolken konnte er nur bis zu seinem Ostdurchgang, um 18:21, 19:20 und 19:50 Uhr fotografiert werden.
 |
 |
| 18:21 Uhr MEZ: Original und ... | ... mit den von astrometry.net identifizierten Sternen |
| |
 |
 |
| 19:20 Uhr MEZ: Original und ... | ... mit den von astrometry.net identifizierten Sternen |
Misst man auf diesen Bildern mit Hilfe von astrometry.net die Mondpositionen, ergibt sich seine Winkelgeschwindigkeit zu
ωM = 2.95*10-6s-1 = 0.61°/h,
woraus man mit obiger Formel eine Mondentfernung von
rM = 357700 km
berechnet, die nur um 3% vom korrekten Wert abweicht. Das Ergebnis, das man aus den Aufnahmen von 19:20 und 19:51 Uhr ableiten kann, weicht sogar nur um weniger als 2% vom wahren Wert ab.
Eigene Messungen kann man leicht mit der Excel-Tabelle MondentfernungVirialsatz auswerten.
 |
Von Bochum aus beobachtete Bewegung des Mondes vor dem Fixsternhimmel zwischen 18:21 und 19:20 Uhr MEZ (Überlagerung anhand der identifizierten Sterne) |
Mit dieser Methode ist es also möglich, innerhalb von einer Stunde die Entfernung des Mondes von der Erde sehr genau zu messen, ohne auf einen Partner angewiesen zu sein. Allerdings muss der Messzeitpunkt sorgfältig gewählt werden. Wäre z. B. der Mond in derselben Nacht gegen Mitternacht fotografiert worden, wäre das Ergebnis selbst bei guten Aufnahmebedingungen um 20% vom richtigen Wert abgewichen.
Unsere Auswertungen der Messungen vom 23. November 2018 sind in dem kleinen Aufsatz Mondentfernung und Virialsatz (A. Knülle-Wenzel und . Backhaus) zusammengefasst.
Letzte Änderung am last update: 2020-11-11, U. Backhaus,
, Tel. 0201-183-2464 (Frau Hager)